Black Scholes Calculator
One of the essential tools that help option traders set a rational price for stock options is the Black Scholes Calculator India. If you are an active investor in stocks then referring to this Black Scholes Tool guide is very important.
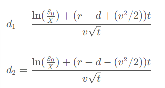
This page will let traders understand what is the black scholes method, how to use the black scholes calculator online, and How to calculate Call options and put options using the Black & Scholes Option Pricing Formula.
Read More:

